High Pressure Steel Cylinders

 

High Pressure Steel Cylinders

DSW produces high pressure steel cylinders from high-quality 4130 CrMo (chromium-molybdenum) alloy steel to meet US DOT and international regulations, adhering to stringent production standards.
High pressure steel cylinders can be used for multiple applications: oxygen, nitrogen, argon, helium, carbon dioxide, hydrogen, mixtures, and many other gases and pressurized liquids.

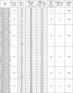
Capacities: 4 up to 68 L and 82.5 L
Service pressures: 2015 psi to 6000 psi
Complies with DOT, TC, ISO, and military specifications
Made with high-quality 4130 CrMo (chromium-molybdenum) alloy steel
Multiple options for customization – painting – stamping – neck-rings
A large selection of valves and other accessories are also available in stock
high pressure oxygen cylinders

What is a high-pressure gas tank used for medical oxygen?
A refillable container-closure system constructed of steel, aluminum, or other suitable material (MRI scanners use these) is designed to safely store compressed oxygen at pressure (e.g., 200 bar).

high pressure oxygen cylinders
high pressure oxygen cylinders

pressure oxygen cylinder supplier

DSW offers a variety of packaging options for both specialty gases and industrial gases.
We provide numerous sizes of high-pressure gas tanks and compressed gas bottles with various volume capacities for any application.
Cylinder packs are also available for applications requiring multiple cylinders of compressed gas.

high pressure oxygen cylinders

What is the standard working pressure of a cylinder?

A cylinder is a container designed to contain gases or liquids at pressures significantly different than ambient pressure. Any cylinder’s working pressure varies based on factors like application, size, content, and construction material.
The standard working pressure of cylinders for use in industry, skilled craft, diving, and medicine had a standardized working pressure (WP) of only 150 bars (2,200 psi) in Europe until about 1950. From 1975 until now, the standard pressure is 200 bars (2,900 psi).


Comments

Popular posts from this blog

Efficient Storage Solutions for Liquefied Gases in Offshore

Cryogenic Tank Manufacturers in China exporting top 10

Boost Efficiency and Eliminate Downtime with DSW's Microbulk Tank System